Astrónomos chinos utilizaron el satélite de sondeo de exoplanetas TESS de la NASA para observar una binaria eclipsante de tipo Algol, designada V455 Car. Los resultados de la observación se publicaron en la revista New Astronomy.

Las binarias de tipo Algol son sistemas semidetachados donde la componente de menor masa transfiere masa a la de mayor masa debido a que llena su lóbulo de Roche, lo que resulta en pérdida de masa y momento angular. Pertenecen al tipo de binarias eclipsantes y están relacionadas con el miembro prototipo de esta clase (es decir, β Persei o Algol).
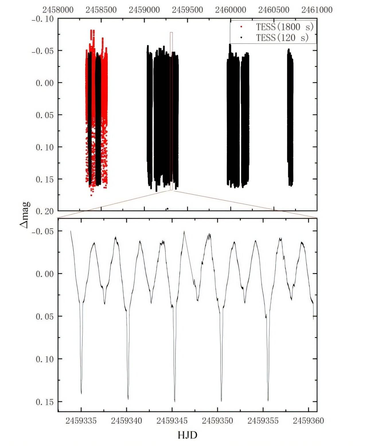
V455 Car es una binaria eclipsante oscilante de tipo Algol con un período orbital de aproximadamente 5,133 días. Su temperatura efectiva se estima en alrededor de 18.000 K, y la masa de la estrella primaria en el sistema se estima en aproximadamente 3,5 masas solares.
Dado que las características de pulsación de V455 Car no están claras, un equipo de astrónomos liderado por Deng Zhaolong del Observatorio Astronómico de Yunnan en China decidió estudiar el sistema utilizando el satélite TESS. Su estudio se complementó con datos del satélite Gaia de la ESA y el espectrógrafo FEROS de fibra óptica de alta resolución.
Las observaciones revelaron que V455 Car es una binaria semidetachada con una relación de masas de 0,298, donde la estrella secundaria casi llena su lóbulo de Roche. Las masas de la estrella primaria y secundaria son 5,3 masas solares y 1,58 masas solares, respectivamente.
Según el artículo, el radio de la estrella primaria en V455 Car es de 3,17 radios solares, con una luminosidad de 659 luminosidades solares y una temperatura efectiva de 16.427 K. En cuanto a su compañera, su tamaño es aproximadamente 6,66 veces el del Sol, con una luminosidad de alrededor de 40 luminosidades solares y una temperatura efectiva estimada de 5.619 K.
Además, el estudio encontró que el semieje mayor del sistema es de 23,81 radios solares y detectó variaciones periódicas de aproximadamente 26,62 años. Los astrónomos especulan que esta variación indica la presencia de un tercer cuerpo en el sistema, con una masa mínima de 0,59 masas solares.
En resumen, los autores del artículo concluyen que V455 Car es un sistema de tipo Algol que ha experimentado una fase de transferencia de masa rápida, probablemente compuesto por una estrella B de pulsación lenta (SPB) que muestra variaciones de baja frecuencia aleatoria (SLF) y una gigante roja.
"V455 Car representa un ejemplo de sistema binario con una estrella primaria SPB/SLF. Dado que la compañera de V455 Car casi llena su lóbulo de Roche, pero el factor de llenado de la primaria es extremadamente bajo, especulamos que es un sistema de tipo Algol que acaba de experimentar una fase de transferencia de masa rápida, y sus variaciones periódicas podrían atribuirse a la presencia de un tercer cuerpo; el mecanismo y proceso específicos de transferencia de masa requieren investigaciones futuras", explicaron los investigadores.
















京公网安备 11010802043282号